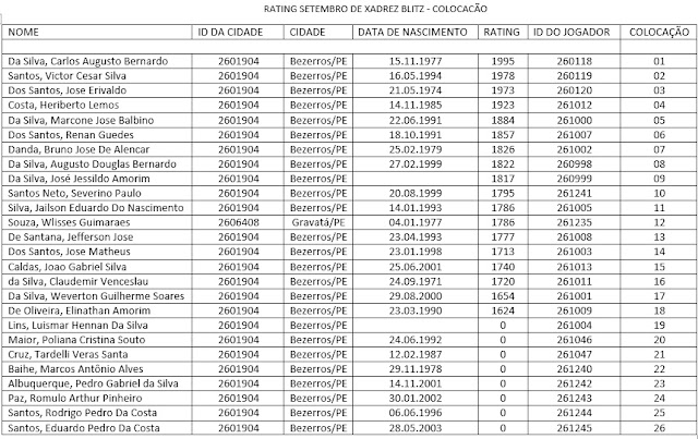
Gerar link Facebook X Pinterest E-mail Outros aplicativos - agosto 30, 2016 Boa Tarde Galera voltamos a se comunicar nossa informações no blog... RATING LBX DE SETEMBRO 2016 Leia mais
Carlsen campeão de Tata Seteel 2016. É muito bom ganhar um torneio deste nivel sem perder nenhuma partida e com um ponto na frente do segundo! Caíssa está orgulhosa do seu príncipe! Gerar link Facebook X Pinterest E-mail Outros aplicativos - fevereiro 01, 2016 fonte reino de caíssa. Leia mais
PARQUE DONA LINDU - AV. BOA VIAGEM -BOA VIAGEM - RECIFE- PE DATA:24/01/2016 Gerar link Facebook X Pinterest E-mail Outros aplicativos - janeiro 25, 2016 Leia mais
O Brasileiro de Xadrez Gerar link Facebook X Pinterest E-mail Outros aplicativos - janeiro 13, 2016 Leia mais